TL;DR: no
University of Cambridge
85% of the guns used in a crime that are recovered by the police were sold at least once through a private party transaction (Wintemute, Braga, and Kennedy 2010).
There is a large and growing black market of guns that are being sold by people who are in the business of dealing and are doing it without a license; and therefore, they are not running background checks the way the law requires. And it is fueling violence.
Steven Dettelbach, ATF Director, 10 Apr 2024
I’ve spent hours with families who’ve lost loved ones to gun violence. They all have the same message: ‘Do something.’ Today, my Administration is taking action to make sure fewer guns are sold without background checks.
President Biden, 10 Apr 2024
Every year, thousands of unlicensed gun dealers sell tens of thousands of guns without a background check, including to buyers who would have failed one – domestic abusers, violent felons, and even children. This single gap in our federal background check system has caused unimaginable pain and suffering. Today, as the head of the White House Office of Gun Violence Prevention, I am proud to say that all gun dealers must conduct background checks no matter where or how they sell.
Vice President Harris, 10 Apr 2024
Commercial Dealers
Private Sellers
13% of recent firearm purchases in the US occurred without a background check, including 50% of private purchases made… outside of stores
You will need a license if you are devoting time, attention, and labor to dealing in firearms as a regular course of trade or business to predominantly earn a profit through the repetitive purchase and resale of firearms… By contrast, if you make only occasional resales of firearms to enhance your personal collection or if you liquidate your personal collection (without restocking), you do not need to be licensed
ATF 2024
Private sellers doing so to earn profit anywhere in the country would be required to obtain FFLs and conduct background checks
The policy was announced April 10 and would take effect May 20
A federal lawsuit in Northern District of Texas provided injunctive relief for Texas, Lousiana, Mississippi and Utah
Private sellers in these states would not be required to obtain FFLs or conduct background checks until the lawsuit was finished
If private individuals are “engaged in the business” of selling, they could…
Declines in private sales should increase background checks as buyers turn to FFLs
Fewer firearms sold without background checks may reduce gun violence
But any effect on violence will only occur through changes in legal gun markets
So we’re focusing on proximal mechanism: effects on legal gun markets
As a result of the rule change…
Dave K. is leading the first two
I am leading on Armslist

Measure
State-month counts of new listings for firearms from private sellers and commercial dealers
Key fields
Scraper
We’re doing a pilot now
I really hope it works
Treatment group: 25 states without universal background checks as of May 20, 2024 and which did not receive injunctive relief
Control group: 21 states and DC with universal checks
Estimand: The average effect of the policy change on the treated states
Identifying Assumption: In the absence of the rule change, the average untreated potential outcomes for treated states and the control group would have followed parallel paths following treatment
Difference-in-differences (DiD)
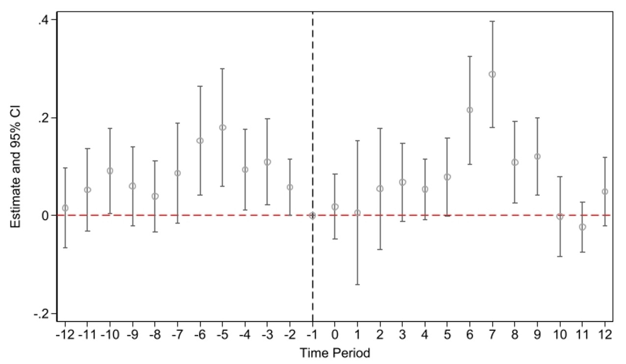
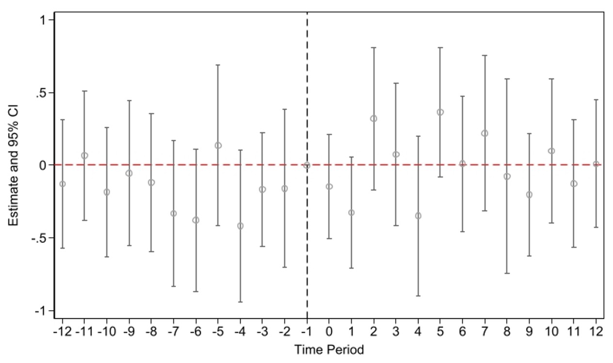
Event study
\[ y_{st} \sim Pois(\mathbb{E}[y_{st}]) \\ \mathbb{E}[y_{st}] = exp(\alpha + \beta D_{st} + \theta_s + \gamma_t) \]
Variables
Parameters
\[ y_{st} \sim Pois(\mathbb{E}[y_{st}]) \\ \mathbb{E}[y_{st}] = exp\left(\alpha + \sum_{k=-12}^{12} \left(\beta_kD_{st}^k\right) + \theta_s + \gamma_t\right) \]
Same as before except:
| Coef | Std. Err. | |
|---|---|---|
| Treatment | 0.103 | 0.059 |
| Constant | 1.750*** | 0.020 |
| Observations | 1150 | |
| Clusters | 46 |
Tiny insignificant treatment effect
Nothing here either
| Coef | Std. Err. | |
|---|---|---|
| Treatment | 0.004 | 0.020 |
| Constant | 10.352*** | 0.006 |
| Observations | 1150 | |
| Clusters | 46 |
Near-zero insignificant treatment effect
A tiny delayed increase, but estimates are sensitive
Candidate explanations:
The nature of the rule change was ambiguous, leading some people to believe that nothing had really changed
The rule change had little deterrent effect because it was minimally enforced, perceived to be minimally enforced, or because sellers were unaware of the change
Few were affected by the rule change; i.e., few private sellers were actually redefined as being “engaged in the business” of dealing firearms to “predominantly earn a profit”.
So I went and looked at gun forums…
Nothing much has really changed. Private sales are still allowed. I can still post up at a gun show or post a classified to sell off parts of my collection to fund new purchases. The rule doesn’t close a loophole, it just creates (or really mostly restates) the existing rules about straw purchases and operating without a license. The rule was and remains that private sales don’t require a background check. And the people regularly buying and selling guns for a profit, or otherwise acting as straw purchasers, were already breaking the law and continue to be breaking the law, and this rule doesn’t seem to be creating new mechanisms for identifying and stopping those people. So really this seems like a preservation of the status quo… At best I think a bunch of government lawyers got paid to waste a bunch of ink on a rule that will serve as a symbolic but ultimately meaningless gesture to people who want to see politicians do something about gun laws, but don’t fundamentally understand gun laws.
sh1tpost1nsh1t, Reddit r/law
Another common thread: the policy is DOA and will never be enforced
To find out, we FOIAed the ATF for records on investigations and prosecutions for dealing without FFL as per 18 U.S.C. §922(a)(1)(A)
So far no evidence changes:
Perhaps there are few unlicensed people selling “predominately to earn a profit”
Our analysis of online gun markets may be suggestive
the loophole rule change originated in a 2022 bipartisan act of Congress that was spurred by a Covid-era surge in violence. Yet its impact appears negligible. Whether this failure stemmed from the deeply polarized politics of gun regulation, the toothlessness of ATF, or from targeting to narrow a group of sellers remains unclear. Consequently it seems unlikely that the rule change has had any meaningful impact on broader outcomes like firearm violence.
Contact:
Charles C. Lanfear
Institute of Criminology
University of Cambridge
clanfear.github.io
cl948@cam.ac.uk