Mid-life health consequences of exposure to gun violence

 

Charles C. Lanfear University of Cambridge
Robert J. Sampson Harvard University

 

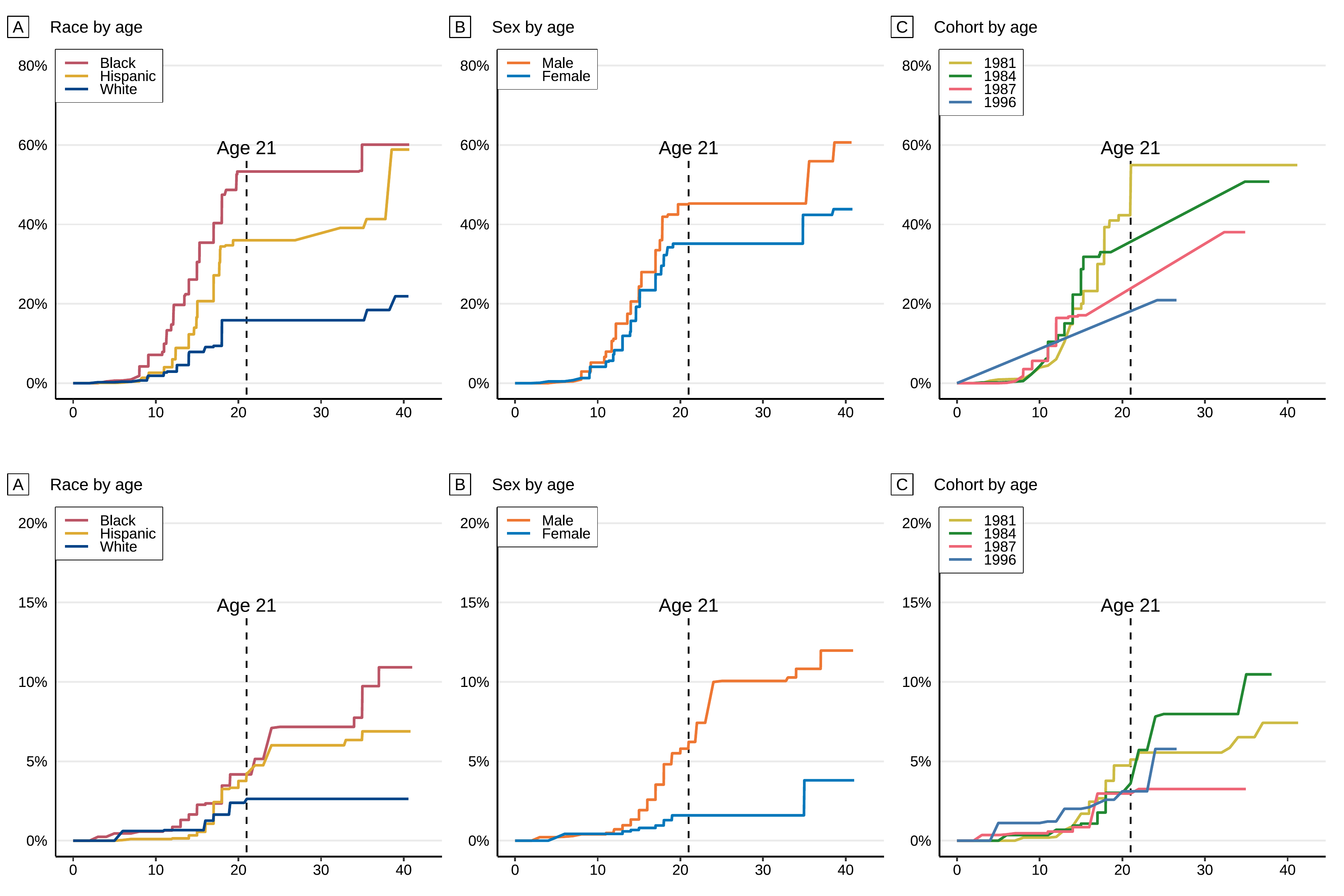
Exposure to gun violence is pervasive but varies by…

  • Birth cohort
  • Race
  • Sex
  • Life stage

  • Exposure high for 90s adolescents, 2016-2021 adults
  • Black and Hispanic males at highest risk

Gun carrying follows two age-specific patterns:

  • Adolescent carrying age-limited, responsive to exposure
  • Adult carrying persistent, responsive to macro-context

  • Exposure predicts adolescent but not adult gun carrying
  • Young carriers likely in uniquely dangerous contexts

The present study

 

Race, sex, and cohort differentiated exposure to gun violence may produce lasting harm to physical and mental heath

 

But those most vulnerable may move away from dangerous places…

 

… or even die as a result of that danger

G dc1 Exposure to Gun Violence out1 Health dc1->out1 mob Residential Mobility dc1->mob dc2 Exposure to Gun Violence dc1->dc2 mort Mortality dc1->mort health2 Health dc1->health2 out1->mob out1->mort out1->health2 mob->dc2 mob->mort mob->health2 dc2->health2 earlylife Childhood and Adolescence midlife Early and Mid Adulthood

 

  • Different forms of exposure
  • Mobility: A confounding mediator
  • Mortality: A censoring collider

Questions

How does exposure to gun violence affect mid-life

  • Physical health
  • Mental health
  • Substance use

 

And to understand this, we need to know how it affects…

  • Mortality
  • Residential mobility

  • Health:
    • Mental:
      • Kessler K6 distress scale (0-24)
        • 13+ indicative of serious mental illness
      • Anxiety, depression, PTSD
    • Physical:
      • Self-reported physical health (1-5)
      • Diagnosed serious health conditions
    • Substance use
  • Exposure to gun violence:
    • Age first saw someone shot
    • Adolescent gun carrying
    • Past-year shootings within 250m
    • Tract homicide rate

Analysis

  • Today’s exploratory analysis:
    • Linear and ordinal models
    • Covariate control
      • Family background
      • Childhood neighborhood
  • Future plans:
    • Improved measurement
    • More complete model
      • Mortality
      • Mobility
    • Plausibly identified effects
      • e.g., structural nested models

Results

Mental health in mid-life

Mental health during adolescence

Note: 1996 cohort only

Physical health in mid-life

Physical health in adolescence

Note: 1996 cohort only

Mortality sneak-peek

Takeaways

Key results

  • Modest but significant associations over time
    • Primarily mental health
  • Strong contemporaneous associations
    • Young gun carriers reported poor mental, excellent physical health
  • Not accounting for mortality or mobility
    • These may suppress (or amplify) associations

Next steps

  • Expanding the model
    • Mortality
    • Mobility
    • Serious physical health conditions

 

  • Can we get leverage on causal identification?
    • Power / variation
    • Sequential ignorability

Feedback and Questions

Contact:

Charles C. Lanfear
Institute of Criminology
University of Cambridge
cl948@cam.ac.uk

For more about the PHDCN+:

PHDCN@fas.harvard.edu
https://sites.harvard.edu/phdcn/
https://doi.org/10.1007/s40865-022-00203-0

Appendix

Kessler K6

“During the past 30 days, about how often did you feel…”

  • … nervous?
  • … hopeless?
  • … restless or fidgety?
  • … so depressed that nothing could cheer you up?
  • … that everything was an effort?
  • … worthless?

Levels:

    1. All of the time
    1. Most of the time
    1. Some of the time
    1. A little of the time
    1. None of the time